?
湘潭银v俩宝贝康养院里,有一支老h爱戴?/span>“娘子军”,光导是党支部书记周艳纯、院长戴?rn)和总部领导陈元同志。其成员有:(x)刘梦、陈杰、周q뀁林娥、汤惠兰、黄先群、钟桂南、易玲芝、刘意群、冯芟뀁成爱枚{十四h。她们在住院老者眼中,个个是女、个个是奌雄。她们不怕风Q不怕雨Q不怕苦Q不怕篏Q不白天黑夜,q死亡都不畏惧,她们是真正的“红色娘子军”,是真正的z雷锋。她们白天黑夜都在照护着住院老hQ早晨喊老h起床Q早ؓ(f)行动不便方的老h喂饭Q用有个别认知障碍的老hH然要大便甚至了(jin)裤子Q要q速地扶进厕所q行处理Q老者满意。有时晚上老者房里的呼叫铃一响,有个别老h大小便失,……马上要l老hz、洗澡、换被子Q精?j)地护理老h。还有些老h晚上H然(zhn)病Q要?qing)时?/span>120送医院急救Q诸如这cȝ问题Q几乎天天都有,随时都有可能发生Q银L(fng)娘子军都能不动声艌Ӏ圆满地解决q些问题?/span>
说v娘子军,大家可能W一个想到的是冲锋陷c(din)英勇杀敌、训l有素的x(chng)士们Q但银v娘子军是一支有十爱心(j)与耐心(j)Q用x(chng)独有的温柔与力量照亮了(jin)无数个长者暮q的“湘潭银俩宝贝U色娘子军”?/span>
“书记妈妈好Q”这是在银v俩宝贝里常听到的一个称|不仅工作人员是这样喊Q就q许多老hQ也是这样亲切称呼她。“书记妈妈”全名周艳纯Q原是某国企退休职工,有缘l识银v俩宝贝,自此Q她便开始了(jin)与老h朝夕相处的生zR每当夜׃h?rn)时Q那个穿梭于每个戉K兛_老h感受Q陪老h一L(fng)?sh)视、谈?j)和护理员沟通到半夜的n影,一定是那个最让老h和员工安?j)的“书记妈妈”?/span>
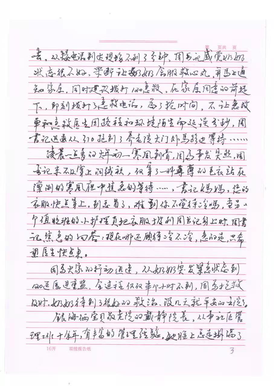
记得今年正月初一凌晨1Ҏ(gu)Q晚班护理员易玲芝电(sh)话呼叫周书记Q?/span>310郭奶奶突然感觉很隑֏Q呼吸困难,周书CҎ(gu)?sh)话一Ҏ(gu)急忙忙从热被H出来迅速套?jin)条外裤Q抓件毛就往310戉K跑去。从接电(sh)话到辄Z?/span>3分钟Q周书记感觉奶奶状态很不好Q果断让奶奶含服速效救心(j)丸,q上通知家属Q同时徏议拨?/span>120急救Q在家属同意的前提,卛_拨打?jin)急救?sh)话。ؓ(f)?jin)抢旉Q不让急救车和急救ȝ因\E和环境陌生而g误分U,周书记迅速从310跑到?jin)养老机构的大门外马路边{待…?/span>凌晨一点多的大q初一寒风刺骨Q因Z发突然周书记来不?qing)穿上羽l袄Q仅I一件薄薄的毛站在凛冽的寒风夜中焦急的{待……?/span>书记妈妈Q?zhn)的服快点穿上,别感冒?jin)Q难道你不觉得冷?/span>?/span>当另一个值晚班的护理姐姐把衣服披到周书记w上Ӟ周仍然很焦急的回答?/span>现在哪还־上冷不冷Q急得不得?jin),只希望医生快?gu)?/span>
因ؓ(f)大家的行动迅速,从奶奶突发紧急状态到120送医q重监,全过E仅仅半个小时不到。因为抢救及(qing)Ӟ奶奶得到?jin)很好的救治Q没几天顺利^安出?/span>?/span>?/span>
银v俩宝贝窑湑ֺ养院的戴?rn)院长,从事C理工作十余q的她,怸L挂满?jin)热情饱满的W容Q让人感觉如沐春风,院里的老h、家属个个都喜欢戴院长,她做事雷厉风行,待h爽朗亲切。每天早上不C点,伴随着戴院长清脆嘹亮的问候声“爷爷奶奶们早上好!”,她的w媄(jing)L如约而至Q风雨无阅R?/span>
火R跑得快,全靠车头带。正是因为有好的榜样Q才能带领一批同样优U?/span>“娘子军”ؓ(f)老者们服务?/span>
理二楼自理区的护理员刘意群Q今q?/span>57岁,满头的黑发a(b)亮乌光,不仅个子高挑q手脚麻利,让h一点也看不出她的年U。自Ҏ(gu)手二g来,全楼层达?/span>0投诉Q老h都说刘姨做事认真l心(j)负责Q经常同手脚不顺利的老奶奶洗澡洗脚,把老h所需的药物管理的有条不紊Q老h们的生活起居照顾的井井有条,老h们的换洗衣裤全都z得q干净净Q每天早上五点半钟v床,l老h打扫戉K、清z厕所Q老h们非常满意!
三楼p区的护理员易玲芝Q今q?/span>54岁,她入职的旉不长Q但自她q院P便收获了(jin)无数老h的“大拇指”。她做事温柔l致Q说话轻al语Q对待老h耐心(j)极佳Q无论多隄护理dҎ(gu)LdL,从无怨言。一天下午,临近用餐旉Q老h陆箋(hu)下楼用餐Ӟ她发C位爷爷大便失,奚w上将L(fng)带回戉KQ仔仔细l地帮爷h?jin)MQ换好服后再带着L(fng)下楼用餐。这L(fng)情况q有很多Q每ơ她都是耐心(j)的把需要喂饭的老hQ一口一口的耐心(j)喂食完毕后,自己再去吃饭?/span>
同样的情况还有三楼的汤慧兎ͼh处理袋{?/span>…?/span>
q有钟桂南同志,今年52岁,她进入银俩宝贝已经W四个年头了(jin)。她性格直爽做事风风火火Q许多让人头疼的护理NQ她总能自如应对Q她也凭借多q的工作l验和认真负责的工作态度Q得C(jin)许多家属的认可。甚x(chng)老者家属塞?/span>500元钱U包l她Q感Ȁ她对自己母亲的细致照料,但钟桂南没有拿,反而是义正a辞的拒绝?jin)。她_(d)(x)“这本来是我们分内的事情,奶奶住在我们q里Q我们就有义务就有责任要照顾好她Q?/span>
除了(jin)一U的护理员,q有默默无闻的保z员林翠娥,院里上下三层楼的卫生工作都由她负责,每天都能看到她忙忙碌的w媄(jing)Q像个勤劳的蜜蜂般维护着我们q个大家庭的环境。每天早中晚三餐后的地面清洁工作Q繁琐而无呻I我曾问她Q?/span>“早晚拖也是一样吧Q这样太辛苦?jin)呀”。林娥摇了(jin)摇头Q“老h吃完饭以后地面有饭粒和菜汤,如果不拖q净很容易摔倒的Q我辛苦一Ҏ(gu)关系Q只要老h安全好Q”简单的三言两语一带而过Q但背后却是日复一日的辛勤付出为我们爷爷奶奶的安全?qing)舒适环境保驾护航!
更让人感动的是,虽然林翠娥是做保z工作的Q但Ҏ(gu)已把q里的爷爷奶奶当成自q家hQ有时候看到其他的护理员忙不赢Ӟ她也?x)主动承担许多护理工作帮忙照护老hQ工作外大家有说有笑Q工作内大家互帮互助Q?/span>
在周书记的带领,戴院长的协助下,银v俩宝贝窑湑ֺ养院内工作有条不紊,老h入住率稳步提升,目前已入?/span>50多名长者?/span>
热烈?jin)祝国际三八妇女节?/span>
银v老hQ雷怿 撰稿





